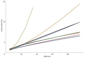
Allometric relationships between adult DBH and crown radius for the eight tree taxa 


© Matthew Evans 2015