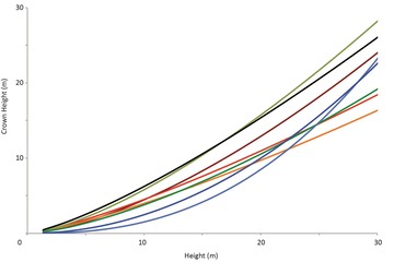
Allometric relationships between adult crown height and height for the eight tree taxa 


© Matthew Evans 2015